To obtain the sequence impedance from the Z matrix, transpose the impedance matrix (Z) first:
Impedance Matrix:

Symmetrical Component Matrix:

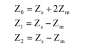
Then the sequence impedances are as follows:
Example:Given the impedance matrix of a cable:

Zs = 0.064143 + j0.010117
Zm = 0.010583 + j0.003438
Thus,
Z0 = (0.064143 + j0.010117) + 2*(0.010583 + j0.003438)
Z0 = 0.0853 + j0.017Z0 = R0 + jX0
Z1 = (0.064143 + j0.010117) - (0.010583 + j0.003438)
Z1 = 0.0536 + j0.0067Z1 = R1 + jX1
These are the same results shown on the cable datablock: